Formulae The following formulae will be used in business management external assessment. Contents Prior learning SL and HL 2 Topic 1.

Ib Math Hl Formula Booklet Pages 1 16 Flip Pdf Download Fliphtml5
Most of this is also.
Math ia hl formula booklet. Scroll down this page to find over 300 examples of maths IA exploration topics and ideas for IB mathematics students doing their internal assessment IA coursework. Maths IA Maths Exploration Topics. 17052017 International Baccalaureate Baccalaurat International Bachillerato Internacional.
It is recommended that students have the AI SLHL Formula Booklet with them whenever revising Applications and Interpretation theory or practicing exam. Analysis and approaches formula booklet. Please note that difference between HL and SL IAs is the level of math expected of students which is reflected in slightly different rubrics and consequently the HL and SL grades differ slightly.
Paper 2 HL Solutions. 2 An excellent overview of the changes to the new syllabus including more detailed information as to the syllabus changes differences between the two courses and also what 10 of the leading universities have said with regards to course preferences. I personally got a 1720 just hit that 7 benchmark for my math exploration though a 6 in math HL as paper 1 pulled all my marks down pwhahaha so you might want to find someone who actually got a 7 in Math HL to help you out.
Math Studies SL and HL study resources and with insights from our years of experience teaching these courses. Gross profit Gross profit margin 100 sales revenue. The Exploration contributes 20 to your overall IB score for the course.
Paper 2 SL Solutions. Topics include Algebra and Number proof Geometry Calculus Statistics and Probability Physics and links with other subjects. Linear algebra 14 Mathematics HL and further mathematics formula booklet 1.
IB HL Math IA Topics. Marked by the teacher called a mathematical exploration or just the Exploration. Solutions Solved PIB Textbook.
Functions SL and HL 5. Breaking the Code Eulers Totient Theorem Minesweeper. Contents Prior learning 2 Topics 3 Topic 1Algebra 3 Topic 2Functions and equations 4 Topic 3Circular functions and trigonometry 4.
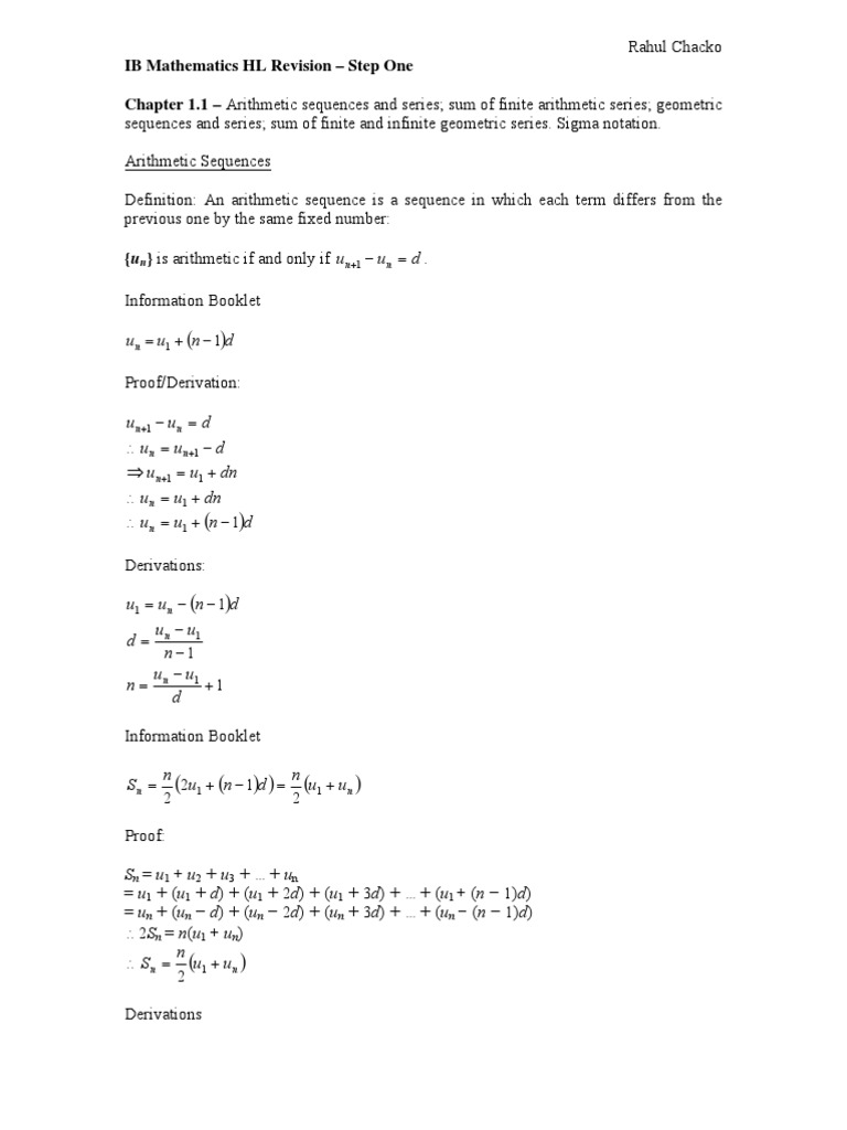
Number and algebra SL and HL 3 HL only 4 Topic 2. 1 2 A bh b is the base re h is the height Area of a trapezoid 1 2 A a bh where a and b are the parallel sides h is the height. First examinations 2021.
Net profit before interest and tax Net profit margin 100. The following are examples of HLSL IAs based on the current mark scheme with grader comments. IB MATHEMATICS AI FORMULA BOOKLET IB Textbook.
Paper 1 HL Solutions. Formulae for ratio analysis SLHL Profitability ratios SLHL. We also include detailed instructions on how to use the TI-Nspire to solve problems.
Contents Prior learning 2 Core 3 Topic 1. Useful links and tools to help you in your endeavors. Internal Assessment Math Studies IA Introduction Math Studies IA Review Documents Example Math Studies IAs Example Math HLSL IAs Calculator Guide IB Math HLSL Calculator Instructions Formula Books IB Math Studies Formula Booklet IB Math HL Formula Book IB Math SL Formula Book Online Tools.
Mathematics SL formula booklet 4 Topic 2Functions and equations 24 Axis of symmetry of graph of a quadratic function 2 axis of symmetry 2 b f x ax bx c x a 26 Relationships between logarithmic and exponential functions a ax xae ln log a xax log a x 27 Solutions of a quadratic equation 2. Algebra 3 Topic 2. We illustrate theoretical concepts by working through IB-style questions and break things down using a step-by-step approach.
IB HL Math IA Topics Mathematics in artexpolring the role of math in. A copy of the formulae will be provided to students for the examination. Internal Assessment IA in Maths HL consists of a single internally assessed component ie.
Mathematics HL and further mathematics formula booklet 2 Formulae Prior learning Area of a parallelogram A bh where b is the base h is the height Area of a triangle 1 2 A bh where b is the base h is the height Area of a trapezium 1. Discrete mathematics 12 Further mathematics HL topic 6 Formulae for distributions 13 Topics 56 57 71 further mathematics HL topic 31 Discrete distributions 13 Continuous distributions 13 Further mathematics 14 Topic 1. 29062021 There are now two formula booklets in total one for the AA courses and one for the AI courses.
The formula booklets for the AA SL and AA HL courses have been consolidated into the one document referred to as the IB Mathematics Analysis and Approaches Formula Booklet SL and HL likewise for the AI courses. Paper 1 SL Solutions. Functions and equations 4.
Mathematics SL formula booklet For use during the course and in the examinations First examinations 2014 Edited in 2015 version 2 Diploma Programme. Mathematics HL and further mathematics HL formula booklet For use during the course and in the examinations First examinations 2014 Diploma Programme. 28062021 The IB Math AI Formula Booklet is useful for two reasons.
27072019 1 A very useful condensed pdf of the Analysis and Approaches formula book for both SL and HL. IB MATHEMATICS AI FORMULA BOOKLET. 1 to easily refer to formulas when solving questions and 2 to get a high level view of the full scope of the AI SL.
Math HL formula bookletpdf Created Date. For use during the course and in the examinations. Further mathematics HL topic 5 Topic 10.
Applications and interpretation formula booklet 2 Prior learning SL and HL Area of a parallelogram is the heightA bh where b is the base h Area of a triangle whe.

Ib Math Sl Formula Booklet Pdf
![]()
The Conduct Of Ib Diploma Programme Examinations Mathematics Sl Formula Booklet Pdf4pro

Ib Sl Math Formula Sheet Math Formulas

Ib Mathematics Hl Formula Booklet Pdf Download Now

Ib Mathematical Studies Sl Formula Booklet Math Formulas
Ib Mathematics Hl Revision Trigonometric Functions Sine

Difference Between Ib Math Aa And Ib Math Ai Nail Ib


0 comments:
Post a Comment